77. Remove Duplicates from Sorted List
Topic :
linked lists
Difficulty :
easy
Problem Link :
problem statement
Given the head of a sorted linked list, delete all duplicates such that each element appears only once. Return the linked list sorted as well.

Example 1:
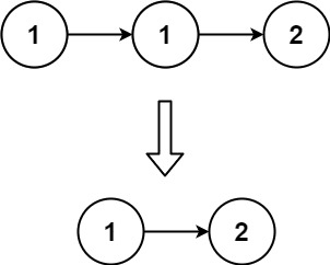
Input: head = [1,1,2]
Output: [1,2]
Example 2:
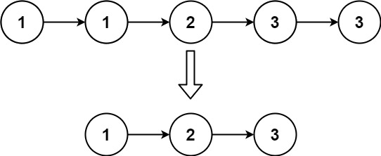
Input: head = [1,1,2,3,3]
Output: [1,2,3]Constraints:
- The number of nodes in the list is in the range
[0, 300]. -100 <= Node.val <= 100- The list is guaranteed to be sorted in ascending order.
solution
import java.io.*;
import java.util.*;
class Remove_Duplicates_From_Sorted_LinkedList
{
static class Node{
int data;
Node next;
Node(int data){
this.data=data;
this.next=null;
}
}
static void display(Node head){
while(head!=null)
{ System.out.print(head.data+" --> ");
head=head.next;
}
System.out.print("null");
System.out.println();
}
static Node deleteDuplicate(Node head){
if(head==null || head.next==null)
return head;
Node curr=head;
while(curr.next!=null)
{ if(curr.data==curr.next.data)
curr.next=curr.next.next;
else
curr=curr.next;
}
return head;
}
public static void main(String args[])
{
Node head=new Node(1);
head.next=new Node(1);
head.next.next=new Node(2);
head.next.next.next=new Node(2);
head.next.next.next.next=new Node(4);
Node duplicatesRemoved=deleteDuplicate(head);
display(duplicatesRemoved);
}
}